Allowed and Disallowed Structures
It is only possible to create regular tree structures where each node has zero or one parents.
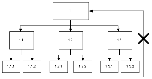
Circular structures are not allowed. This means that a node cannot be assigned a parent which is an ancestor of the node itself. By ancestor is meant a node which is a parent of the specified node, a parent of the parent of the node, and so on.
Incorrect: Circular structures are not allowed.
Furthermore, it is not possible for a node to be both a leaf and a parent. Returning to our basic example, consider a situation where you register certain expenses that concern the whole California division (for instance rent of facilities) on a location called “California, General.” You do not wish to register parts of the expense on each California office, as it concerns the division as a whole. In a situation like this, you cannot assign the location “California, General” directly to the node “California” as if the node were a leaf, as it already has the children “Los Angeles” and “San Francisco.” Instead, you must create a node for the general location value, making it a child of the “California” node and assigning the “California, General” location. By means of this structure, the total of the California division will include figures from the individual offices as well as the general entries, and the location “California, General” will appear as a separate item beneath the California node, just like the individual offices.
Incorrect
Correct