Backlog with Baseline Budget or Forecast Chart

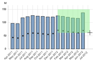
This bar chart displays the actual backlog amounts for the current period, and budget or forecast backlog amounts for future periods. You can select the type of backlog you want to view: contract or funded. If you view contract backlog, the funded backlog displays as a black square on each bar on the chart.

By default, the summarized data displayed on this chart is for all Organizations, Project Types, Project Managers, Customers, and Projects. When you select attributes, the chart refreshes with the filtered data.

In this topic

Chart Format

Backlog Type

User Options That Affect the Chart

Maximize the Chart

Focus the Chart

Display Data Point Information

Send the Chart Data to Excel

Other Chart Actions

Chart Format

Chart Item

Description

Horizontal axis: analysis period

The horizontal axis displays the fiscal periods included in the analysis period.

Vertical axis: current value

The vertical axis displays the current value for the contract and/or funded backlog that you are viewing.

Chart Data

Data Item

Description

Bars: Contract or Funded Backlog

The chart displays the backlog for the analysis period.

Contract backlog displays actuals for historical months as filled bars, and projected budget for future months as clear bars.

Funded backlog displays both actuals and budget information as a black square on each bar on the chart. The distance between the top of the bar and the square indicates the amount of unfunded backlog.

For descriptions of the sources of the data used in backlog, see Data Sources.

Backlog Type

There are two types of backlog: Contract and Funded.

Backlog defaults to Contract when used initially, but you can switch the type of backlog at any time.

To switch the type of backlog...

  1. Locate the backlog type options.

  2. Click Contract or Funded. The selected option's button turns green, and the pertinent information on the charts and tables updates to reflect your selection.

User Options That Affect the Chart

The following options on the User Options tab affect this chart:

For descriptions of how each option affects Backlog Analytics, see User Options That Affect Backlog.

Maximize the Chart

Click at the top right of the chart to display the chart at its maximum size. Click to restore the chart to its original size and location on the tab.

Focus the Chart

To focus the chart on a particular set of data points, click and drag the mouse pointer over the chart so that all of those data points are included in the green selection area.

Illustration

To focus the chart on a more restricted analysis period, do either of the following:

It is much easier to make selections on the chart itself if you first maximize the chart.

If you use any of the above actions to change the chart, Costpoint Analytics applies the same changes, as appropriate, to all other analytic objects.

Display Data Point Information

To see the backlog amount for a specific analysis period, position the mouse pointer over the bar whose details you want to view. Costpoint Analytics displays the fiscal period, contract backlog amount, and funded backlog amount in a data box.

It is much easier to position the mouse pointer over a data point if you first maximize the chart.

Illustration

Send the Chart Data to Excel

Click to send the data underlying the chart to Microsoft Excel. More...

Other Chart Actions

In addition to the actions described above, you can also do the following:

For more on these actions, see Print, Email, or Export Analytic Data and Attach Notes to Analytics.